Epoxy
Epoxy resins by DCM Shriram Ltd. are versatile, high-performance materials known for their superior adhesion, chemical resistance, and durability. Ideal for applications in paints and coatings, adhesives, electrical & electronics, and composites, our epoxy products ensure reliable and long-lasting solutions across various industries.
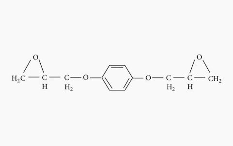
How it is made:
Epoxy resins are made through a controlled chemical reaction between epichlorohydrin and bisphenol-A. The process involves raw material selection, reaction under specific conditions, purification to remove impurities, and rigorous quality testing to ensure consistency and high performance.
Applications
We have updated our policy. By continuing to browse this website, you agree to our privacy policy and the use of cookies on the website.